Borrar

Episodio 8

Este es mi amigo y le quiero hacer un favor

30
30

00:00

27:24

Jesús Muguruza, amigo de Pedro Nieva, se adentra en el barrio bilbaíno de San Francisco para buscar a especialistas en palizas y otros recados violentos. Y en matar. Encuentra a Djilali Benatia y Maamar Kelii.

Una investigación periodística con la colaboración de

Recibe en tu email los nuevos episodios

¡Ya estás apuntado! Recibirás un correo para avisarte de cada nuevo episodio

Episodio 7

Infografía

El viaje preparatorio del 27 de julio

Episodio 8. Ardines
Episodio 8. Ardines

Este es el Audi A6 de Pedro Nieva en el que fueron él, Muguruza y Djilali en el viaje preparatorio días antes del crimen hasta Llanes. Se averió y tuvieron que llamar a una grúa y alquilar un nuevo coche.

Episodio 8. Ardines

El 'Citroen' de Djilali, en el que fueron él y Maamar hasta Belmonte de Pría, Llanes, el día que presuntamente mataron a Javier Ardines.

Episodio 8. Ardines

Imagen de Djilali Benatia, uno de los presuntos sicarios.

Episodio 8. Ardines

Imagen de Jesús Muguruza, acusado de ser el intermediario entre Pedro Nieva y los sicarios.

Episodio 8. Ardines

Imagen de Maamar Kelli, otro de los presuntos sicarios.

Episodio 8. Ardines

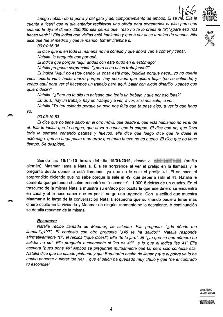
Resumen de algunas de las conversaciones entre Maamar y su mujer después del crimen mientras él se encontraba en Suiza, según la Guardia Civil, dedicándose al tráfico de drogas y otros delitos.

Episodio 8. Ardines

Documentos de la declaración de Djilali, uno de los sicarios, ante la Guardia Civil tras ser detenido y confesar su participación en el crimen.

Episodio 8. Ardines
Episodio 8. Ardines
Episodio 8. Ardines

[MÚSICA: CANTOJAS, PLATERO Y TÚ]

Luis Calabor San Francisco es la zona más viva de Bilbao, es donde más movimiento hay y donde ves cosas que, bueno, pues que no se ven en el resto de la ciudad.

Como me dijo un policía nacional hace muchos años, todo lo que pasa en la provincia o fuera de la provincia siempre acaba en este barrio. Lo único que tenemos que hacer es esperar aquí. Tarde o temprano, el malo o el delincuente o la persona que estamos buscando aparece por este barrio.

Narrador Luis Calabor, ‘Cala’ para los amigos, es fotógrafo, una leyenda del periodismo en Bizkaia.

Luis Calabor Tengo 64 años y llevo cuarenta años y medio haciendo sucesos en ‘El Correo’. Cuarenta años muy intensos en los que cada día es una aventura diferente.

Narrador Muchos de los sucesos que ha cubierto ‘Cala’ han ocurrido aquí, en San Francisco, el barrio de Fito Cabrales. La canción que suena de fondo, ‘Por el puente Cantalojas’, que ahora además es una plaza, describe precisamente este rincón de la capital vizcaína. El padre del músico regentó un club de alterne en La Palanca, como se conoce a la zona. Y Fito se crió en sus calles.

Fito Cada vez que entro a Bilbao y veo ahí Zabala y el puent... ex-puente Cantalojas pues es quizá donde más a gusto te sientes, sí.

Narrador Y también donde puede pasar cualquier cosa.

Luis Calabor En ese barrio he cubierto muchos sucesos, muchísimos de todo tipo, de peleas, navajazos, muertos a puñaladas, muertos por disparos, actuaciones policiales por tráfico de drogas.

Narrador Si se teclea en un buscador “San Francisco” y “Bilbao” lo primero que aparece en pantalla es el adjetivo ‘peligroso’ como sugerencia de búsqueda. De las primeras 1.000 multas que puso la Ertzaintza por saltarse el confinamiento por el Covid, casi 400 se impusieron en esta barriada. Aquí se vive al margen del orden establecido.

Pero San Francisco es mucho más que eso. Está formado por tres núcleos: San Francisco, Zabala y Bilbao la Vieja. Es el barrio más deprimido de Bilbao, el segundo con más paro de los 39 que tiene la ciudad, un 16%. Y en el que hay más inmigrantes: un 35% frente al 4% de Txurdinaga, que es donde reside un menor porcentaje.

Luis Calabor Se diferencia del resto de la ciudad en la multiculturalidad. Ves cosas que por el resto de la ciudad no, no ves. O si lo ves, lo ves muy individual, muy suelto. Hay gente de todas las partes del mundo.

Narrador Cuando uno cruza el puente Cantalojas, cambia el paisanaje. Las vías del tren y la ría marcan una frontera evidente entre el Bilbao del Guggenheim y la zona que no se recomienda visitar a los turistas. El brillo del titanio de Norman Foster no se ve desde este punto de la ciudad. Aquí sigue el óxido.

Pero no siempre ha sido así. San Francisco vivió también su época dorada. Su fiebre del oro.

Luis Calabor Es la zona de más ambiente de Bilbao durante los años 60 y 70, donde más dinero ha corrido. Era un sitio que se conocía en toda España.

Narrador El barrio canalla, el Moulin Rouge de Bilbao. Aquí los clubes se llaman ‘El gato negro’, ‘Eden’, ‘Gaspy’, ‘Marilyn’.

[MÚSICA: CANTOJAS, PLATERO Y TÚ]

Narrador San Francisco, con sus 7.300 habitantes censados, es también el gran bazar del delito. Fue aquí donde Pedro Nieva envió a su amigo, Jesús Muguruza, en busca de dos sicarios para -supuestamente- vengarse de Javier Ardines, su amigo, el amante de su mujer. Los cuatro están hoy en la cárcel esperando a ser juzgados por el crimen de Llanes.

¿Cómo es posible que en una ciudad moderna y segura como Bilbao se pueda contratar a dos matones por 800 euros?

LAS DOS MUERTES DE JAVIER ARDINES. EPISODIO 8: ESTE ES MI AMIGO Y LE QUIERO HACER UN FAVOR

Narrador En julio de 2018, un mes antes del asesinato, Muguruza cruza el puente Cantalojas. Deja atrás las vías del tren.

[SONIDO TREN]

Narrador Es el punto de no retorno, porque el ferrocarril separa el Bilbao acomodado del mundo del hampa de San Francisco.

Muguruza tiene un encargo. De Pedro Nieva. Su amigo de Amorebieta.

Jueza ¿Conoce usted a Jesús Muguruza?

Pedro Nieva Sí.

Jueza ¿De qué le conoce?

Pedro Nieva Le hice una vivienda, una instalación eléctrica en la vivienda de su mujer.

Narrador Pedro Nieva explica así a la jueza instructora del caso cómo conoció dos años antes a Jesús Muguruza. El abogado de Muguruza, Luis Mendiguren, da más detalles sobre la relación.

Jesús Mendiguren Más o menos trabajaba para él y se conocieron porque Nieva, con su empresa, estuvo en su casa. En la casa de éste haciendo unas obras, supongo. Temas, temas de cableado. Y a raíz de ahí, pues también hubo cierta amistad. Uno busca trabajo, el otro te ayuda.

Narrador Muguruza. Hablamos de un personaje clave en esta historia. El hombre que supuestamente puso a Nieva en contacto con los sicarios. La Guardia Civil le considera el cooperador necesario y la Fiscalía pide 25 años de cárcel para él, la misma pena que al resto de acusados. Sin su intervención, el crimen no habría podido llevarse a cabo. O eso parece. Su abogado no está tan seguro.

Jesús Mendiguren No solamente la Guardia Civil, sino que ya salió en la prensa desde el minuto uno hablaban de intermediario, comisionista incluso. Unas cosas que me parece un poco… Pero siempre, siempre hay que dejarlo muy claro. Versión de la Guardia Civil.

David Olabarri Jesús Muguruza tiene 51 años, vive en el barrio de Astrabudua, en Erandio, con su mujer Fátima y sus dos hijos.

Narrador David Olabarri es un periodista de ‘El Correo’ que ha indagado en su biografía.

David Olabarri Muguruza fue condenado dos veces por tráfico de drogas.Tiene un brazo y el pecho llenos de tatuajes. Nieva es su jefe. Hace todo lo que le manda. Estamos en julio de 2018. Nieva le acaba de conseguir un trabajo descargando escombros. Y ahora le devuelve el favor adentrándose en San Francisco.

Narrador Muguruza dirige sus pasos hacia la Plaza Corazón de María, en el mismo centro del barrio.

Huele a comida exótica que sale de las tiendas de alimentación.

Los comercios y locutorios tienen rótulos de colores llamativos. Peluquería Mahmoud, Arreglos de ropa Wisaltex, Carnicería El Baraka, Supermercado Ultra Latinos…

George Belinga En San Francisco puedes viajar por todo el mundo en una sola calle. O sea, puedes ir a un restaurante marroquí, puedes ir a la tienda de Fatum y coger cosas africanas. ¿Hay bares bolivianos? ¿Colombianos?

Narrador El que describe el entorno, esa voz, es George Belinga. Hace tres años, este joven recibió un premio de manos del Rey Felipe VI por su labor de emprendimiento. De madre española y padre camerunés, George lucha por mejorar la calidad de vida de la gente de aquí. Quiere romper etiquetas.

George Belinga San Francisco, sin lugar a dudas, tiene una estigmatización absurda, exagerada, que no responde en absoluto a la realidad del día a día de este espacio.

[CLASE BOXEO GUANTES]

Narrador Esto es boxeo. Boxeo africano. En un pequeño centro cultural de la calle de San Francisco. Los profesores son Ibra y Aliu, un joven senegalés y otro magrebí. Dos hijos de familias numerosas… Ahora tienen un empleo y se pueden dedicar a lo que más les gusta, el deporte.

George Belinga Entonces al final está esta actividad. Nos vale mucho para demostrar a la gente que lo que necesitamos son oportunidades. Lo que necesitan estos chavales son oportunidades, es decir, que les guíen en caminos que puedan ser un poco diferentes a lo que estaban acostumbrados.

Narrador George Belinga está empeñado en encontrar salidas, soluciones. Pero el barrio es testigo del trapicheo y la prostitución. Y eso que la policía aquí es omnipresente.

Luis Calabor Vamos, es un constante ir y venir de gente, de vehículos oficiales, de los que se ven y de los que no se ven.

Narrador Cala tiene buen ojo. Es fotógrafo. Y siempre está atento a los detalles.

Luis Calabor Hombre, sí, hombre, si quieres contratar a dos personas para hacer cualquier trabajito, es el barrio apropiado.

Narrador Eso es lo que debió pensar Jesús Muguruza, el supuesto intermediario del crimen de Llanes. Busca aquí, en San Francisco, a Djilali Benatia, un argelino con más de un antecedente. Se conocieron hace 3 años. Pescando, mientras tentaban lubinas y mojarras en el puerto de Ondarroa. Ahora tiene un trabajo para él. Le va a proponer que ejecute los planes de Nieva. Sabe que Djilali necesita dinero y que le da igual hacer lo que sea para conseguirlo.

[SONIDO OTXARKOAGA]

Narrador Y lo que se empieza a fraguar en San Francisco se concreta días después en Otxarkoaga, el distrito de Bilbao en el que vive Djilali con su mujer Paula y sus tres hijos. En un bloque de viviendas de hormigón deslucido. Parece una colmena.

Lo hemos dicho al principio del capítulo: sólo uno de los 39 barrios de la ciudad supera a San Francisco en tasa de paro. Ese barrio es el de Otxarkoaga.

Aquí se citan otra vez Muguruza y Djilali. Esta vez está presente Pedro Nieva.

Djilali Yo estaba aquí y Pedro aquí, y él me dijo. Djilali este es mi amigo y le quiero hacer un favor. Y tú, como te conozco, te quiero dar trabajo a ti.

Narrador Este es Djilali. Y está describiendo cómo se reúnen los tres y pactan el encargo por 800 euros.

Djilali No lo sé. Él me dijo que qué quería hacer favor Pedro y darme trabajo a mí, como también un favor y ya está. Y Jesús lo único era intermediar entre los dos.

Narrador Todo esto fue a finales de junio. Tras su detención en febrero de 2019, Djilali decide declarar ante la jueza instructora de Llanes. Relata entonces no sólo aquel primer encuentro en un bar de Otxarkoaga, sino también muchos detalles de lo que pasó después. Es el único que ha confesado, aunque su versión es claramente auto exculpatoria y está llena de contradicciones. Supone un auténtico mazazo en la estrategia de defensa del resto de acusados. Pero todo eso lo veremos más adelante, con más detalle. Ahora quedémonos con el primer encuentro.

Djilali Pedro, que el primer día que le he conocido yo. Me dice Djilali, ¿vosotros matáis? Así me lo dijo. ¿Vosotros matáis?, lo digo y nosotros no.

Narrador Un poco de la vida de Djilali Benatia. Nació en Orán, Argelia, hace 42 años. Aterrizó en Bilbao en 1999. Al año siguiente ya había sido detenido por la Ertzaintza. Desde entonces acumula 13 arrestos por robos con fuerza, atentado y resistencia a la autoridad, lesiones, hurtos y asaltos en domicilios… Una biografía prácticamente calcada a la de Maamar Kelli. Quedémonos con este otro nombre.

Djilali Porque yo conozco a Maamar es un poco bruto.

Narrador Maamar también creció en Argelia, en la pequeña localidad de El Ghomri, con 10.000 habitantes. Nació allí hace 43 años y llegó a la capital vizcaína el mismo año que Djilali. Entró en España por Melilla. Está casado con una española y tiene tres hijos.

Djilali Porque yo pensaba que él, pues porque él es un poco raro, Maamar.

Narrador Al igual que Djilali, Maamar ha sido detenido 13 veces en Bilbao por delitos similares. Pero su vida de delincuente va más allá de la capital vizcaína. En su ficha policial aparecen también arrestos en Vitoria, Santander, San Sebastián, Barakaldo, Logroño…. Maamar suele regresar a menudo a su país natal. A veces para ver a su madre enferma. Otras para huir tras cometer algún delito.

Josu García En el primer encuentro en Otxarkoaga con Nieva y Muguruza, Djilali les dijo que tenía un amigo “fuerte”, “cachas”, con el que podía realizar el encargo.

Narrador Josu García es periodista de ‘El Correo’.

Josu García La Policía les conoce de sobra. Les considera delincuentes habituales. Los investigadores creen que Maamar tiene un perfil más agresivo y voluble que Djilali.

Narrador Quizá sea porque Djilali mide 1,65. Maamar le saca una cabeza...

Fernando Barutell Que sea grande, este hombre es más culpable, menos culpable de un delito de asesinato. Claro que este hombre es un hombre alto, corpulento.

Narrador El abogado de Maamar, Fernando Barutell, considera irrelevante el aspecto físico de su cliente.

Fernando Barutell Pero oiga, y no le voy a sacar el listado de los mayores asesinos de la historia de España eran perdón por la expresión esmirriados. Es decir, no sé qué tiene que ver la corpulencia.

Narrador Para él tampoco resulta determinante haber sido detenido antes.

Fernando Barutell El señor Kelly puede tener todos los antecedentes que tenga bien. Por eso no eres ni más ni menos culpable de un delito de asesinato.

Narrador Tanto Djilali como Maamar han vivido en el barrio de San Francisco, donde es muy probable que se conocieran. Fueron detenidos juntos al menos en dos ocasiones y acusados de robos con fuerza. El abogado de Maamar, Fernando Barutell, lo confirma.

Fernando Barutell Si ellos se conocían, claro que se conocían. Eran argelinos residentes, los dos en Bilbao y tenían una relación cordial de amistad. Bueno, pues incluso sí, pero bueno, por lo que me cuenta el señor Kelly, pues tampoco era una amistad de verse a diario.

Narrador De nuevo San Francisco, el bazar del delito. Y de otras vidas posibles. Allí la comunidad argelina está muy enraizada y es numerosa.

[SONIDO CELEBRACION ARGELINOS EN BILBAO]

Narrador En julio de 2019, cuando la selección de fútbol del país norteafricano ganó la Copa de África, cientos de compatriotas de Djilali y Maamar colapsaron esta parte de Bilbao. Se ondearon banderas, se tiraron bengalas. Pero ellos dos se perdieron la fiesta. Para entonces ya estaban en prisión preventiva.

[SONIDO SAN FRANCISCO]

Narrador El periodista David Olabarri busca a Paula, la mujer de Djilali, en Otxarkoaga.

Vecino Otxar Creo que están aquí a la vuelta, si la madre. Así la madre está con los niños. Los perros que están ladrando. Si, mira, ella está a la vuelta. ¿Dónde? Aquí mismo, cruzando la esquina.

Narrador ¿Y la encuentras?

David Olabarri La encuentro, sí.

David grabación Hola, ¿eres Paula?

David Olabarri Es una mujer menuda de tez pálida y ojos profundamente azules. Está con dos de sus hijos. Uno de sus perros se llama Zuri, curiosamente como el perro de Nieva.

David grabación Sí, hola Smithson, un vecino, mira, soy David de Olavarría, soy periodista.

David Olabarri Y mi impresión es que la mujer quiere hablar. Quiere dar su versión. Así que concertamos una entrevista.

Narrador Perfecto, entonces.

David Olabarri Pero apenas dos días antes se echa atrás después de consultar con su abogado. No es la primera vez que nos pasa. Es difícil encontrar a alguien que quiera dar su testimonio en este caso. Hice un nuevo intento, pero acabó bloqueándome en whatsapp.

[SONIDO TELÉFONO BLOQUEADO]

Voz mujer Natalia Estoy pintando el salón y he encontrado tu escondite, donde estaban los 1.000 euros.

Voz hombre Maamar ¿Qué dices?

Voz mujer Natalia Hombre, ¡claro que lo he encontrado!

Voz hombre Maamar Por eso estás contenta.

Voz mujer Natalia Sí, por un lado contenta y por otro enfadada porque no tienes por qué esconderme las cosas.

Narrador El caso del asesinato de Javier Ardines tiene muchas historias paralelas. De una trama nacen multitud de subtramas. Esto que acabamos de escuchar es la recreación de una llamada telefónica entre Maamar y Natalia, su mujer. Hablaban a diario cuando él estaba en Suiza. El teléfono de ella estaba pinchado. Maamar ya era sospechoso del crimen de Llanes. La Policía cree que estaba en el país helvético dedicándose al tráfico de drogas.

Voz hombre Maamar No es esconder, pero si dejas 4.000 se van en un mes, dejas 5.000 y se van en un mes.

Voz mujer Natalia Y yo, ¿no vivo? No puedo sacarme la muela, no puedo comprar ropa al niño, no comemos, pagamos el alquiler…¿Tú qué te crees que es la vida? Cualquiera que te oiga piensa que soy una derrochona, que me lo fundó por ahí en no sé qué.

Narrador Durante su investigación, la Guardia Civil intervino teléfonos y colocó micrófonos ocultos. De esta forma consiguió datos relevantes que permitieron estrechar el cerco sobre los sospechosos. Pero también mucha información intrascendente que, sin embargo, destapa la vida diaria de los delincuentes. La normalización del crimen.

Voz mujer Natalia ¿Cuándo vuelves?

Voz hombre Maamar Tengo cosecha, pero es mala y no se vende. Estoy esperando a uno que viene de Irak. No tengo cariño. No hay dinero, ¿cómo voy a volver?

Voz mujer Natalia Ten cuidado porque ya sólo nos falta que te pase algo. A ver lo que hago yo.

Narrador El abogado de Maamar asegura, sin embargo, que a lo que se dedica su cliente es a la compra-venta de coches de segunda mano.

Fernando Barutell Es decir, pues intentaba ayudar al matrimonio o vivir en el matrimonio, pues aportando todos esos tipos de ingresos y la compraventa de vehículos que también de forma no poco habitual, viajaba a Suiza para vender ese tipo de vehículos.

Narrador Pero dejemos las disputas de pareja y volvamos al caso. A la preparación del crimen. Es viernes. 27 de julio de 2018. 9 de la mañana.

[SONIDO CARRETERA]

Narrador Con su Audi A6 Pedro Nieva lleva a Djilali a Llanes para enseñarle dónde vive Javier Ardines y por dónde sale con su coche. Empiezan a organizar, presuntamente, la encerrona. Es un viaje preparatorio. Le pide a Muguruza que les acompañe porque no conoce al argelino. Le advierte de que tiene que ser antes de las fiestas de Llanes para que no haya nadie de madrugada en la calle.

Djilali Jesús me dijo uno, una paliza y ya está. Y Pedro la última vez me dijo que romperle el pie o la mano bien y ya está.

Narrador ¿Paliza o asesinato? Esa puede ser la clave del juicio. ¿Encarga Nieva a los sicarios que maten a Javier Ardines? ¿O solo quiere que le den un escarmiento?

Djilali Yo lo entendí como una oferta real, porque si una persona no quería matar a otro, no lo dice. Si quería una paliza, al principio darle una paliza y ya está. No me tienes que preguntar si nosotros matamos. Yo lo entiendo así.

Narrador La declaración de Djilali ante la jueza mantiene la incógnita abierta. Dice que al principio Muguruza sólo le habló de una paliza. Pero que después le pidieron que acabase con su vida.

Djilali He pensado que le quería matar porque primero quería ir con Jesús. Luego me preguntaron a mí a ver si nosotros lo matamos.

Narrador Cuando van por la A-8, a la altura del pequeño pueblo de Pamanes, cerca de Santander, a las 11 menos cuarto de la mañana, el ‘Audi’ se avería. Les deja tirados. Djilali le recomienda volver otro día. En lugar de regresar a Amorebieta y posponer el plan, Nieva siente la imperiosa necesidad de continuar. Sabe que es el último día laborable que el chalé de Belmonte de Pría va a estar vacío. El hijo mayor de Nieva planea pasarse por allí dos días después.

Ainhoa de las Heras Nieva llama a su seguro, Allianz, y le envían una grúa y un taxi que traslada a los tres hasta el aeropuerto de Parayas, en Santander. Allí alquila un ‘Seat León’ negro con el que continúan hasta Llanes. Llegan, aproximadamente, a la una y media.

Narrador Ainhoa de las Heras, periodista de ‘El Correo’, ha profundizado en el sumario para entender todos los detalles de este nuevo error cometido por Nieva.

Lorenzo Silva Un profesional habría interpretado como una causa para abortar la operación.

Narrador Y Lorenzo Silva es el escritor de cabecera de la Guardia Civil.

Lorenzo Silva Y él decide no sólo no abordarla, sino hacer cosas tales como llamar a la asistencia técnica, alquilar un coche, es decir, dejar un montón de huellas que finalmente van a ir en su contra.

Ainhoa de las Heras Esta avería es la que permitió a la Guardia Civil comprobar en su momento, gracias a la triangulación de los móviles y a los testimonios del taxista y la aseguradora, que en el coche viajaban tres personas.

Narrador Pero no solo eso… Nieva tiene un objetivo mayor para este viaje del 27 de julio. Preparar su venganza en Belmonte de Pría. Nieva conoce bien el terreno. La casa de Ardines está a 125 metros de la suya, entre frondosos árboles y viviendas apartadas. Algunas son alojamientos turísticos y otras de propiedad privada. Tiene una única salida. La que tomaba cada mañana temprano para ir a pescar. Un rincón ideal para tender una emboscada.

Djilali Porque ellos me han dicho que para poner el coche y hacer como estoy borracho y eso. Y yo le he dicho que no, que mi coche no voy a poner. Pondré algunos troncos en la carretera.

Ainhoa de las Heras En un primer momento, le piden a Djilali que se haga el borracho y que cruce el coche en el camino, pero él se niega. Prefiere poner unos troncos.

Narrador Al final… Al final fueron unas vallas en mitad del camino. Nieva también lleva a Djilali a ver el barco del concejal de IU, ‘La Bramadoria’.

Djilali Porque a mí me dijo Pedro, el primer día que hemos llegado aquí me dijo te llevo donde trabajaba yo. Le he dicho que no me interesaba, que donde vivía ya valía, ¿no? Y él insitió y me enseñó el barco.

Ainhoa de las Heras Jesús Muguruza sugiere a Nieva que no se deje ver por Llanes. Que le pueden reconocer. Que allí todo el mundo sabe quién es. Pero a él le da igual.

Djilali No, no. Encima él lo dijo, lo dijo, lo dijo Pedro, que aquí te van a reconocer que no te acerques mucho aquí. Y Pedro le dijo: No, llevo un año sin venir. Y ahora encima aquí tengo barba, que antes no tenía barba y llevaba la gorra.

Narrador En el viaje de regreso, hablan del dinero. Primero iban a ser 800 euros. Tras una negociación, Djilali pide 11.000 en total. Nieva saca 5.000 euros de su riñonera y se los entrega. Aunque como más adelante veremos, finalmente Nieva pagará por la muerte de Ardines una cifra bastante más alta.

César Charro Aquí lo que tenemos es unos personajillos como he dicho antes de tercera división que se han creído impunes porque no les había visto nadie. No conocen los métodos de investigación policiales.

Narrador César Charro es policía municipal de Getxo y criminólogo. Está en la calle, en contacto con los delincuentes. Y también se dedica a estudiar los comportamientos criminales.

César Charro Han hecho algo que no debe hacer ningún sicario. Mantener relación con quien les contrata, con el inductor del asesinato. Y al final ha sido su fin.

Narrador Los matones contratados por Nieva cometen errores desde el primer momento.

Detective Yo no voy a dar pistas de cómo hay que hacerlo, pero lo que no hay que hacer es lo que hicieron ellos.

Narrador El detective 3100 contratado por Nieva para vigilar a Víctor, su excuñado, también se sorprende por la falta de profesionalidad de Djilali y Maamar.

Detective Es decir, al final tú cuando llegas a un sitio casi te tienes que desnudar. Y en ese sitio ponerte un buzo que de alguna forma. Hasta donde vayas a llegar no dejes ninguna pista. Quiero decir con esto que tú no puedes ir con un vehículo con tu vehículo y tu teléfono al punto donde se ha organizado eso.

Narrador Vamos, una chapuza. Desde el punto de vista de un delincuente, claro.

Detective Parece creado desde la rabia más que desde la inteligencia.

Narrador Lorenzo Silva no puede estar más que de acuerdo.

Lorenzo Silva Se trata de dos personas que se sobreestiman como delincuentes,. Un verdadero profesional no habría cometido los errores que comete con su teléfono móvil, ni se habría fiado en una protección tan, tan débil como es simplemente utilizar un teléfono móvil que está a nombre de otra persona.

Narrador Tras el viaje preparatorio del 27 de julio, Djilali contacta con Maamar Kelii, su amigo de fechorías. Le dice que tiene un asunto entre manos con el que puede ganar mucho dinero. Le invita a participar. Es el amigo fuerte que Djilali necesita. Maamar no se lo piensa.

El día 31 de julio, los dos ya juntos, hacen un primer viaje de reconocimiento. Van a Llanes en la Citroen Berlingo de Djilali. Llueve a mares.

Djilali El día cuando ha venido con Maamar yo quería pegarle el mismo día, el primer día, y cuando llegó media hora para que salga Maamar me dijo que no, que él quiere verle y cómo era físicamente y con quién salía.

Narrador Deciden no actuar, por ahora. Pero al día siguiente vuelven a Llanes. Ya convencidos de ejecutar el encargo. Esconden cerca de la casa de Ardines una valla amarilla de obra. Quieren obligarle a detenerse para poder atacarle.

En plena madrugada, los sicarios esperan durante horas a que Ardines salga de su casa. Pero, cuando lo hace, el concejal sortea la valla sin bajarse del coche.

Djilali El segundo día desvío la valla.

Narrador Nuevo fallo. Esta vez Javier Ardines esquiva la muerte. Djilali y Maamar le siguen hasta el puerto y le ven subirse al barco. Después vuelven a Bilbao. Discuten por el dinero y repasan lo que ha fallado. Djilali amaga con echarse para atrás.

Djilali Cuando discutí con él. Perdona. Pues en ese momento yo quería devolver el dinero y pasar del tema con los dos. Al final Pedro me convenció.

Narrador Dos semanas después, tras un tercer viaje de los sicarios, Ardines ya no tendrá escapatoria.

El día que trabajé con Pedro Nieva

Por Detective 3100 / Arkos Detectives Privados

Un día cualquiera, mientras analizaba las pruebas de un caso, sonó el teléfono. Al otro lado estaba un conocido abogado con el cual colaboro habitualmente. Me indicó que tenía un caso que le gustaría plantearme, concretamente el de un amigo suyo. Tomé nota y me reuní en su despacho.

La cosa pintaba bien. Se trataba de obtener información sobre el comportamiento de un familiar de su cliente, de él y su familia. Lógicamente no se puede desarrollar el contenido de esta investigación por secreto profesional pero sí puedo decir que la investigación consistía en recabar pruebas contundentes.

En Arkos Detectives estamos especializados en la localización de cámaras y micrófonos ocultos y para entrar en cualquier inmueble exigimos que se nos muestre el título de propiedad o de alquiler. En esto hay que ser muy serios y estrictos.

Tras la información, me reuní con el contratante y me aportó sus necesidades. En muchos casos, el desconocimiento hace que a veces los contratantes nos pidan obtener pruebas que no se ajustan a la legalidad y entonces nosotros debemos valorar, analizar y, basándonos en el Derecho, actuar de manera correcta, aunque no se ciña a lo que el contratante quiere de primeras.

Pedro Nieva era una persona de pocas palabras. Escuchaba más que hablaba. Recelaba de lo que se decía y de los entornos. No se fiaba. Estaba siempre en tensión. Por eso -ahora lo entiendo- quiso cambiar el lugar para reunirnos. Nunca vi en él un asomo de complicidad, una sonrisa, un gesto más allá de lo estrictamente necesario. Pese a todo, tras planificar y explicar a grandes rasgos el operativo, con este cliente tuve la relación habitual que tengo con todos. Cada día de la investigación les informo de todo lo que se hace y a veces ellos me aportan novedades sobre el caso. A distancia. Mensajes. Llamadas. Pocas veces -muy puntualmente lo he hecho- me reúno con ellos para hablar durante la investigación.

En este caso, sin embargo, me encontré con Pedro Nieva en varias ocasiones. Y para hablar de detalles, de avances. Nunca me preguntó o se interesó por otro tema paralelo. El trato era correcto, con la parquedad habitual de palabras y actos. Nos vimos en varios sitios: Bilbao, en el Iruña; Erandio, en la plaza del ayuntamiento y en Iurreta, en el Altar de Santa Apolonia. También, por supuesto, en el despacho del letrado. Siempre venía con su furgoneta de empresa y con ropa de trabajo.

Todo iba bien. La investigación dio resultados muy positivos. El 9 de agosto de 2018 era un jueves muy caluroso. Lo recuerdo perfectamente. La espera dentro del coche se hacía casi imposible, pero era lo que tenía que hacer: esperar, esperar y esperar. Ese mismo día hablé telefónicamente con Nieva en varias ocasiones, puesto que la prueba que podía obtener era la definitiva. Al final de la tarde, le informé de que todo estaba correcto y que con este indicio ya se podía cerrar el caso. Quedé en volver a hablar con él cuando tuviera todas las pruebas “sobre la mesa”. Así lo hice a los dos días y entonces me solicitó aún más pruebas sobre el mismo caso, aunque no sirvieran para aclarar más el asunto.

Lo único que conseguiría sería aumentar mis honorarios. Moralmente no lo acepté.

En toda investigación, una vez reunidas todas las pruebas, el siguiente paso consiste en ordenar los vídeos, imágenes, las notas; analizar y sacar los fotogramas. Y redactar el informe, un trabajo duro, minucioso y delicado, y que puede exigir varios días. Mi teoría es que la única visión que los demás tienen del caso son las pruebas que yo aporto y, por lo tanto, mi texto debe ser un fiel reflejo de la realidad. Transmitir lo que un detective ve no es nada fácil. La preparación para ser detective privado pasa por cursar tres años de universidad y ahora las materias que más valoro y que a las que se debería prestar mucha atención son Derecho (en todas sus ramas) y Fotografía. Tampoco se puede olvidar que la gramática y la redacción son valores fundamentales en la vida y en nuestro oficio. Es primordial que la lectura del informe por parte de terceros sea limpia, sencilla, concreta. Nunca se debe opinar porque nuestra misión es trasladar las pruebas para que decidan los jueces.

Tras finalizar el informe, el paso siguiente era localizar a Pedro Nieva. Le llamé pero nunca lograba hablar con él, no respondía a mis llamadas. Contacté entonces con su abogado. Le comenté la situación y quise saber si estaba todo bien. Si, me dijo, pero “Pedro es como es”.

Cuando conseguí hablar directamente con él, por fin, no quiso fijar una cita. Tenía muchas cosas que hacer, me dijo, y me pidió que le pasara el informe al abogado. Para mí él era mi contratante y era él a quien debía entregar el informe, a nadie más.

La verdad es que en esos últimos intercambios le noté más distante, nervioso, dudando de lo que decía y cómo lo decía. Su lenguaje telefónico se había modificado en comparación a otras veces. Fueron varias las llamadas para entregar el informe hasta que, a mediodía, mientras veía por televisión un informativo, el 19 de febrero de 2019, me enteré de la detención del presunto autor intelectual del asesinato de Ardines. Mi primera reacción fue la de mirar la pantalla y mi cuerpo se paralizó al comprobar que quien iba con los grilletes y detenido por la Guardia Civil era Pedro Nieva, mi contratante. No sé explicar lo que sentí. Lo primero que hice fue repasar mentalmente, en décimas de segundo, toda la investigación, los detalles y las conversaciones mantenidas. Reconozco que me afectó moralmente, estaba preocupado por si de algún modo yo había podido colaborar con esta persona en sus acciones. Abrí los documentos de la investigación y estuve repasando todos los datos. Fueron cinco cafés.

Aunque estaba seguro de no haber participado en nada, tan solo el haber tenido vinculación con el contratante ya me resultaba repugnante y eso que mi trabajo nos lleva a situaciones límites. Revisando el material, lo fundamental era hacer lo que sé hacer, afrontar la realidad fríamente, con razonamiento y de manera contundente. Me puse en contacto con el juzgado que lleva el caso y, después de saludar, dije: -“Buenos días, me llamo ____ y soy el detective que ha estado llevando un caso paralelo al presunto autor intelectual del asesinato de Ardines. He mantenido conversaciones con él y...”. La voz que estaba al otro lado me dijo “Tranquilo”. No recuerdo si incluso pronunció mi nombre. Me volvió a preguntar “¿eres el detective de Arkos Detectives?”. Me identifiqué y él me tranquilizó. Me dijo que tenían todas las pruebas y que yo “estaba limpio”. Por supuesto me puse en contacto con el abogado del contratante y me dijo que aún no sabía nada, que necesitaba tener más información y que ya hablaríamos.

Durante varias semanas estuve con la intranquilidad propia, pero con la seguridad de haber realizado correctamente mi trabajo, cumpliendo la ley en toda su extensión. Los detectives debemos tener mucho cuidado con lo que hacemos, con quién y cómo. Nos jugamos, en primer lugar, el hacer bien las cosas y después una importante (y muy elevada) sanción administrativa y la suspensión temporal de nuestra TIP (Tarjeta de Identidad Profesional). Por nuestro tipo de trabajo y por las pruebas que obtenemos, puede que a veces nos busquemos “enemigos”. He tenido que resolver este tipo de investigaciones, normalmente de aficionados o medio matones, pero en el caso de Pedro Nieva mi preocupación era mayor al notar que quienes me seguían tenían nociones más profesionales que los anteriores y más medios. Tomé mis precauciones y modifiqué sistemas, realicé ciertas comprobaciones de seguridad y también verifiqué si tenía algún tipo de escucha en mi vehículo, algo que hago habitualmente.

Ser detective es más una vocación que un trabajo, por eso es bueno que todos los días, por la mañana y al regresar a casa, repasemos todo lo realizado en el día para comprobar dónde está el límite de nuestro oficio. Somos investigadores regulados por el Ministerio del Interior y la Dirección General de Policía y debemos respetar -y así lo hacemos- las leyes y la Ley de Seguridad Privada. Lo más importante de este oficio es actuar desde la lealtad a la verdad para poder aportar confianza con nuestras pruebas e información. Estas pueden resolver dudas sobre actitudes, comportamientos o actuaciones.

Y ya no digo nada si nuestro trabajo hace posible el hallazgo de desaparecidos o el encuentro entre parientes que no se conocían.

Todo queda para el recuerdo. Pero aquel día cualquiera, de hace más de dos años, se convirtió para mí en una marca importante de mi memoria.

Arkos Detectives Privados

TIP 3100

RNSP 10809

Podimo

Por ser lector de EL NORTE DE CASTILLA

Disfruta 30 días gratis de Podimo

Escucha más de 3.000 podcast originales exclusivos, incluido ‘Las dos muertes de Javier Ardines’, así como los 2.500 audiolibros totalmente gratis durante 30 días.

¡Ya estás apuntado! Recibirás un correo para avisarte de cada nuevo episodio

Este es mi amigo y le quiero hacer un favor

00:00

/

27:24

30